作为一类重要的碱金属离子插层电池材料,过渡金属硒化物(TMSs)具有过渡金属硫化物的优势,包括高容量、固有的高安全性和窄带隙半导体特性,因其相对较低的电压,被认为是有前途的负极材料。然而,TMS在K+插层过程中的导电性差和体积膨胀大的问题是严重限制其倍率性能和可逆性。为解决这些问题,设计分层中空结构并将金属硒化物的粒径减小至纳米尺度已被证明是一种有效的解决方案。该设计的开放结构有利于离子扩散长度减小,进而促进其动力学性能的提升,钾离子的传输变得更容易。此外,在这种情况下,与钾化/脱钾化相关的重复应力往往较小,提高了电化学速率和可逆性。然而,具有明确定义的中空结构的TMS材料通常通过模板法制备,其中包含许多复杂的步骤,这限制了其商业用途。利用双金属化合物是改善倍率性能的另一种有效途径。通过异质原子的替代,电荷转移可以得以促进,生成更多电化学活性位点。

我院刘韬教授团队长期致力于新型锂电池的设计开发,近期首次通过一步无模板策略成功制备了分层多孔环状Fe3Ni2Se4(NFS),并研究了其作为磷酸钾电池新型负极材料的电化学性能。该策略消除了模板合成的复杂过程,切断了传统的中空结构合成,并巧妙地利用了Kirkendall效应,通过金属离子和非金属离子的非对称扩散构建了环状形态。分层多孔的环状结构提供了高比表面积和缩短的离子扩散路径,以加速氧化还原动力学,提高了速率性能和循环稳定性。因此,得到的NFS在可逆容量、倍率性和长循环方面均展现出优异的电化学性能。相关成果以“Hierarchically Porous Donut-Like Fe3Ni2Se4 Bimetallic Selenide: An Ultra-High-Rate Anode for Potassium Ions Storage”为题发表在国际权威期刊Advanced Functional Materials上。

图1. a) 分层多孔环状Fe3Ni2Se4的合成过程的示意图。分层多孔环状Fe3Ni2Se4的b、c) SEM图像,d、e) TEM图像,f) 高分辨透TEM图像,g) SAED,h、i) HAADF-STEM图像,以及相应的元素Mapping。比例尺,200 nm

图2. a) Fe3Se4@C和Fe3Ni2Se4@C的XRD图谱。b) Fe3Ni2Se4和Fe3Ni2Se4@C的拉曼光谱。c) Fe3Ni2Se4@C的氮气吸附/脱附等温线及相应的孔径分布。d) Fe3Ni2Se4和Fe3Ni2Se4的XPS谱。Fe3Ni2Se4@C的e) Fe 2p,f) Ni 2p,g) Se 3d,h) C 1s,和i) N 1s的高分辨XPS谱

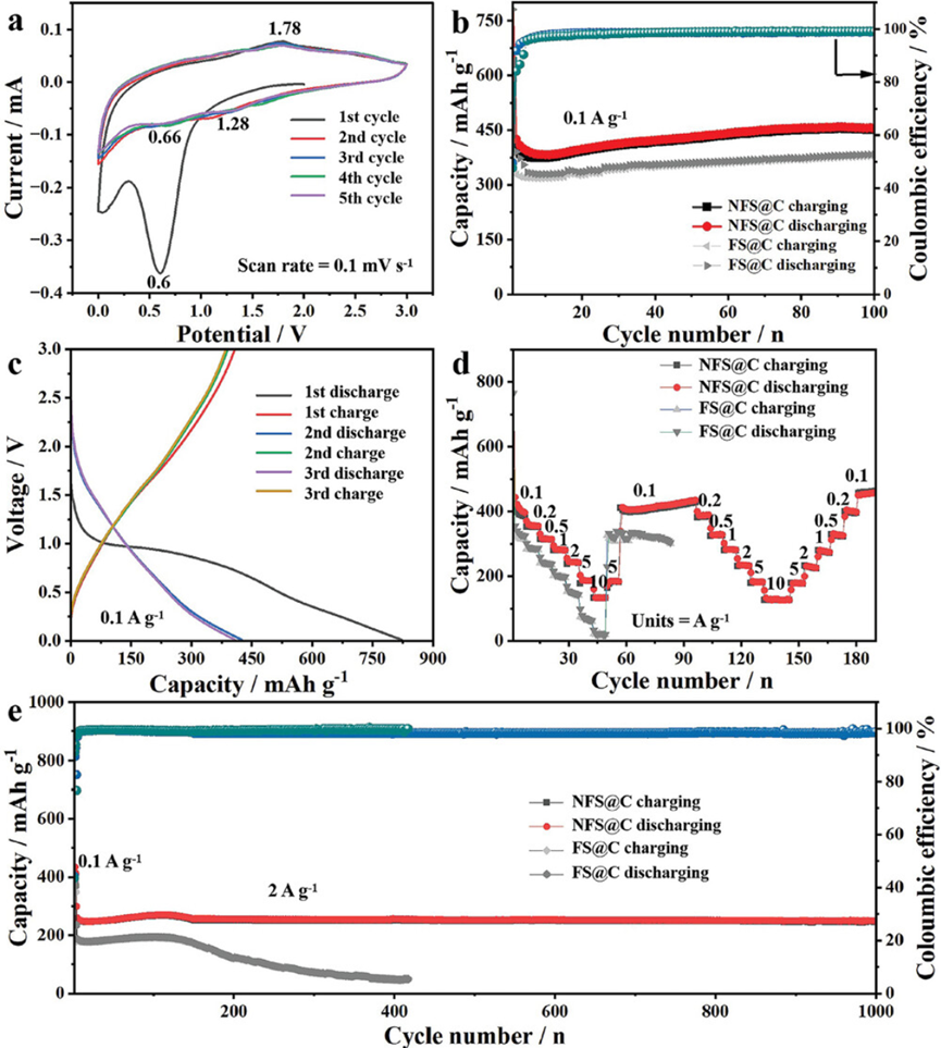
图3. a) 在0.1 mV s−1下的前五个循环的CV曲线。b) 在0.1 A g−1下Fe3Ni2Se4@C和Fe3Se4@C的循环性能。c) 在0.1 A g−1下Fe3Ni2Se4@C的前三个循环的充放电曲线。d) Fe3Ni2Se44@C和Fe3Se4@C的倍率性能。e) 在2 A g−1下Fe3Ni2Se4@C和Fe3Se4@C的长循环性能

图4. 首次放电/充电循环过程中a)原位XRD图谱及b)非原位拉曼光谱。完全放电状态(c、d、g)和完全充电状态(e、f)下的非原位高分辨TEM图像、SAED和元素分布。h) 完全放电和完全充电状态下的Fe 2p XPS谱。i) Fe3Ni2Se4转化机制的示意图

图5. a) 在不同阴/阳极峰值处的log(i)与log(V)图。b) 在不同扫速(0.2–1mV s−1)下电容过程的贡献。c) 在扫描速率为1 mV s−1下电容过程的贡献。计算得到的d)Fe3Se4的PDOSd) 和e)Fe3Ni2Se4的PDOS。f, g) 掺杂Ni之前和之后Fe3Ni2Se4的电荷密度差异(CDD)。黄色区域表示电子积累,而蓝色区域表示电子耗尽。h) 在Fe3Se4(112)和Fe3Ni2Se4(112)界面上K+的迁移示意图。i) K+在Fe3Se4(112)和Fe3Ni2Se4(112)界面上的迁移能垒
研究人员成功地通过一步无模板策略合成了分层多孔环状NFS,并将其用作磷酸钾电池(PIBs)的新型负极材料。丰富的多电子氧化还原反应以及双金属电活性中心和特殊的环状结构负极效应在很大程度上增强了电化学性能,这性能超过大多数已报道的PIBs负极。NFS表现出优异的倍率性能(在各种电流密度下经过190个循环后的可逆容量为458 mAh g-1克),并在高电流密度下表现出长周期寿命(在2 A g−1下经过1000个循环后的可逆容量为250 mAh g-1)。从DFT计算、原位XRD、非原位拉曼、TEM和XPS进一步揭示了在钾化/脱钾化过程中的两阶段插层-转化反应机制,并展现了环状NFS的卓越电化学可逆性。根据形成能计算结果,发现Fe3Ni2Se4将最多可容纳三个K+的嵌入,表现出高的比容量。这项研究为开发高效且经济的PIBs和其他二次电池电极材料提供了新的方法。
博士后Nadeem Hussain为该论文的第一作者和通讯作者,刘韬教授和环境科学与工程学院李风亭教授为共同通讯作者,yl9193永利集团陈作锋教授为研究工作提供了帮助。研究工作得到国家自然科学基金、国家青年人才计划、上海市科委和中央高校基本科研业务费的支持。
论文链接:https://doi.org/10.1002/adfm.202310805